قیمت بلیتهای اتوبوس اربعین اعلام شد
روزنو :مدیرعامل اتحادیه تعاونیهای مسافربری از آغاز پیشفروش بلیت اتوبوسهای اربعین از ۲۵ مردادماه (چهارشنبه) خبر داد.
خبرگزاری ایسنا: مدیرعامل اتحادیه تعاونیهای مسافربری از آغاز پیشفروش بلیت اتوبوسهای اربعین از ۲۵ مردادماه (چهارشنبه) خبر داد.

احمدرضا عامری از آغاز پیش فروش بلیت اتوبوسهای ویژه اربعین از ۲۵ مردادماه (چهارشنبه) خبر داد.
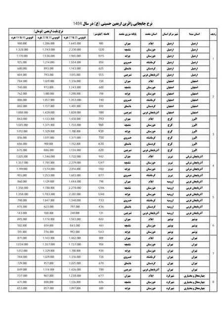
آن طور که گفته میشود نرخ بلیت اتوبوس بسته به نوع اتوبوس یعنی ۲۵ تا ۲۷ نفره، ۳۰ تا ۳۲ نفره و ۴۰ تا ۴۴ نفره متفاوت است. برای مثال قیمت اتوبوس ۲۵ تا ۲۷ نفره در مسیرهای تهران - مهران یک میلیون و ۴۶۲ هزار تومان، تهران - شلمچه یک میلیون و ۷۳۷ هزار تومان، تهران - چزابه یک میلیون و ۷۰۰ هزار تومان، تهران - خسروی یک میلیون و ۳۱۶ هزار تومان، تهران - باشماق یک میلیون و ۲۲۵ هزار تومان و تهران - تمرچین یک میلیون و ۴۲۶ هزار تومان تعیین شده است.
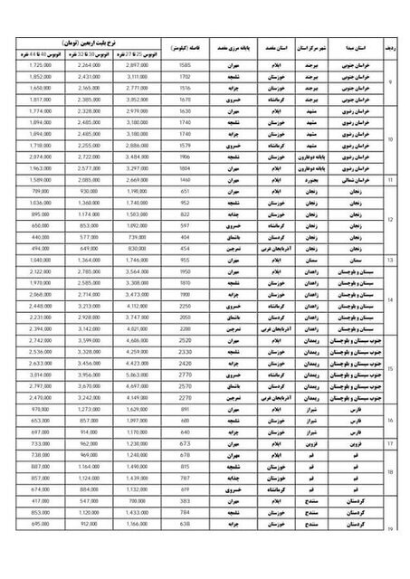
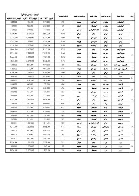
نرخ بلیت اتوبوس از سایر نقاط کشور به مرزهای خروجی به سمت عراق نیز در ادامه آمده است:


